Turbomachinery Research
Understand the Extreme Events in Turbomachines

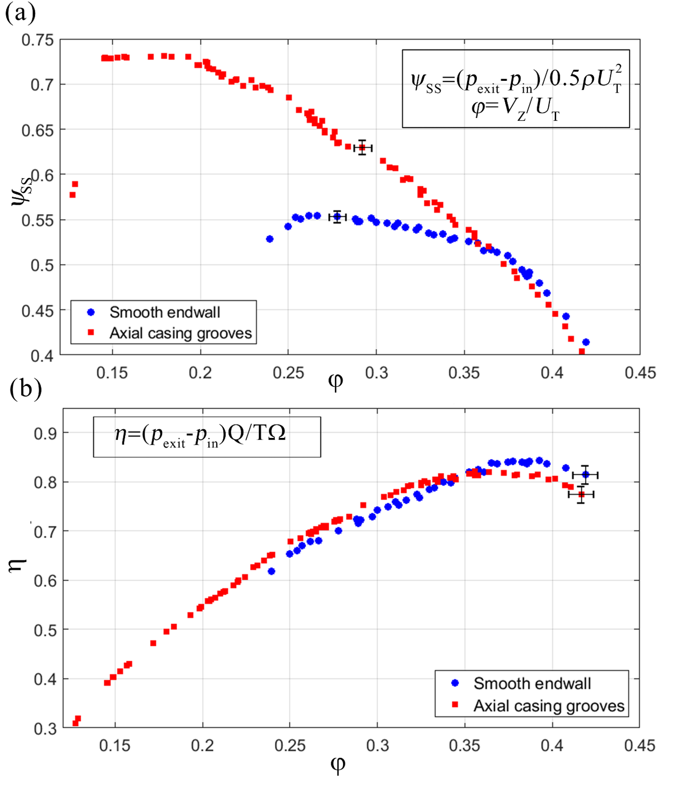
Stall, surge, and cavitation are all extreme events that are detrimental to the performance of turbomachines. We use sophisticated imaging techniques to look into the complex flow fields to understand the causes of these events. Later, we use advanced flow control techniques to mitigate their effects. Figure 1 shows how casing grooves can help delay the onset of stall, Figure 2 shows the complex vortical structure measured by 3D PIV, and Figure 3 shows an axial waterjet pump experiencing severe cavitation.

Stall delaying by casing grooves

Complex vortex structure in the tip region of a turbomachine

Cavitation inside an axial waterjet pump
